
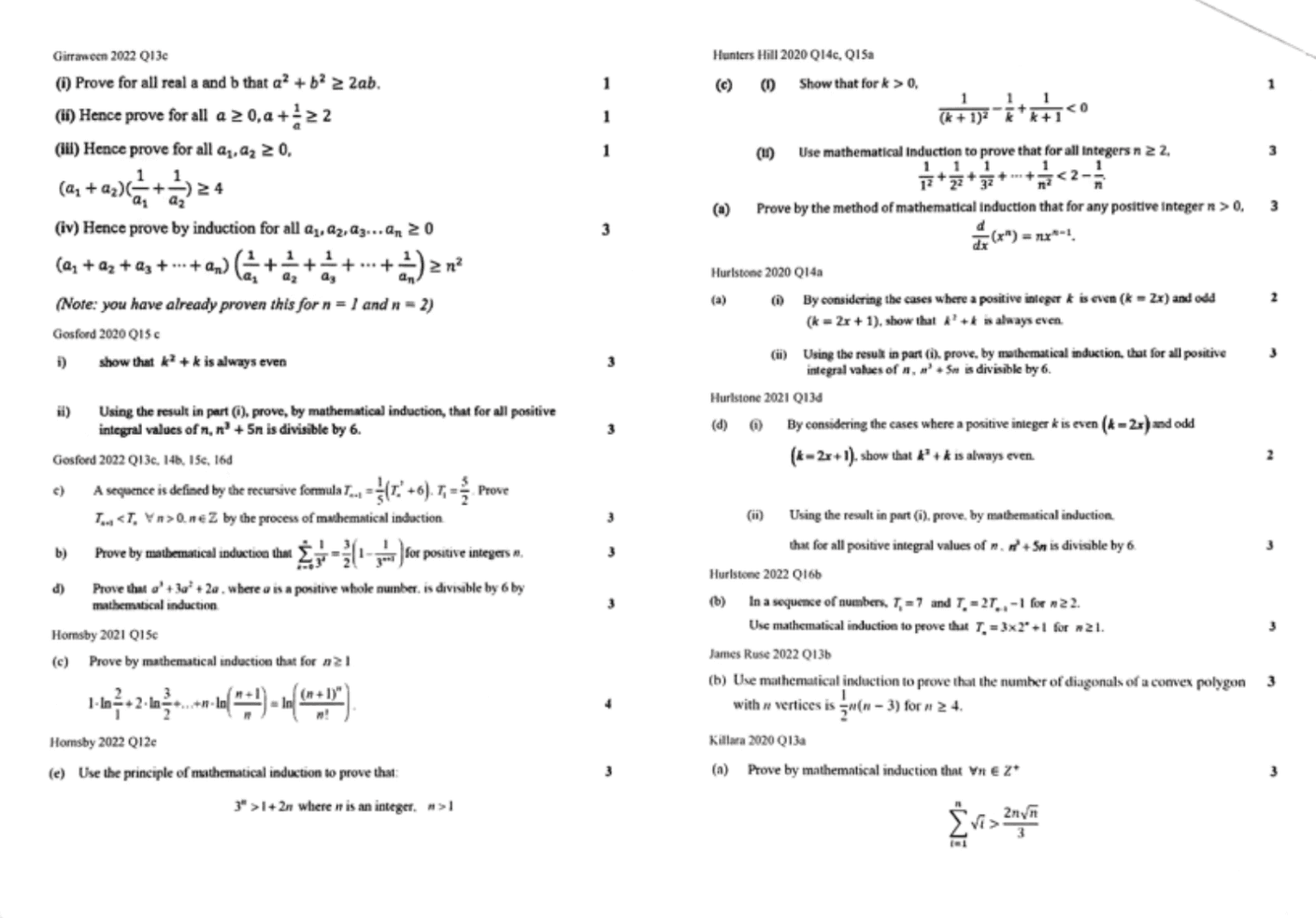
Short-circuit Maths
The Vault’s Cognitive Deep Stack Framework was reverse-engineered from post-mortems of scanned state-rank past papers and examiner briefings, isolating the tiny psychological variables that make markers reward one line of working over another.
It hard-codes those triggers into how you think, speak,
and write HSC Extension mathematics.
No wasted hours. No “extra practice.”
Just engineered in pursuit of the maximum marks-per-minute value,
engineered by those who’ve already broken the code.
Join our team of top-ranking students.
110+
Handcrafted by the elite
TRUsted by the elite
MADE FOR all
Our Story
How The Vault Came To Be
Join our state-wide team of top rankers.
110+

Curriculum
Don't think like the student.
Start thinking Like the examiner who decides your rank.
Each folder, each proof chain, each question sequence has been engineered to compress your working bandwidth,
To make substitutions automatic,
Factorisations intuitive,
And integration transforms effortless.
By the time you’re done, you’ll see the hidden blueprint to every question BEFORE your pen even moves.
3U & 4U Topics
Building Your Foundation
You don’t “learn content” here. You learn compression.
Every folder inside this module retrains your reflexes until pattern recognition becomes instinct.
Every trick, every proof, every line of logic, weaponised for time compression and mark-value density.
20+ Folders
Intensive focus
Battle-Tested Simulation
Each trial targets a different cognitive fault line: algebraic fatigue, substitution reflex delay, locus misreads.
You’re trained to respond like a compiler, not a student.
Expect questions that punish inefficiency, force compression, and demand you see THROUGH wording.
10 Trials
Exam technique
Ready to breach the upper ceiling of the Extension Maths game?
516 pages
Diversified scope
Pricing
Choose How You Pay
FAQ


















